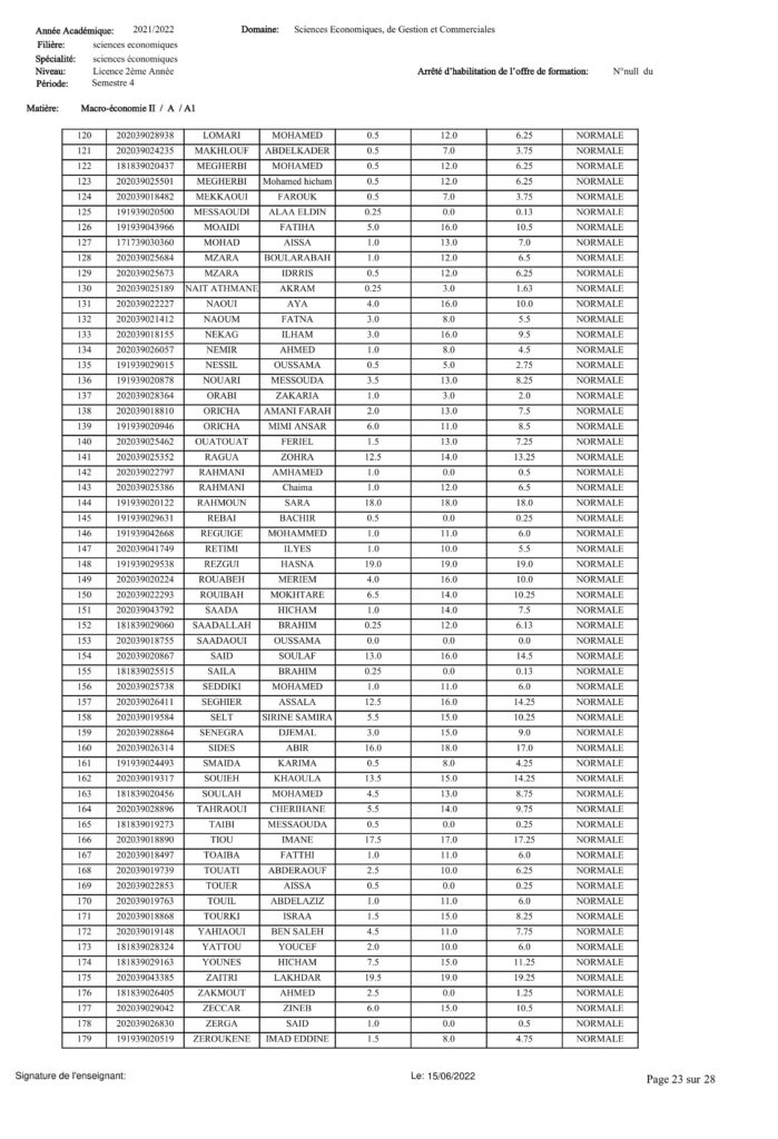
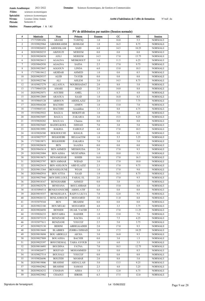
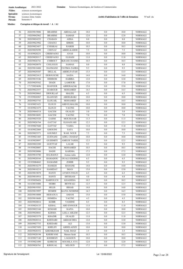
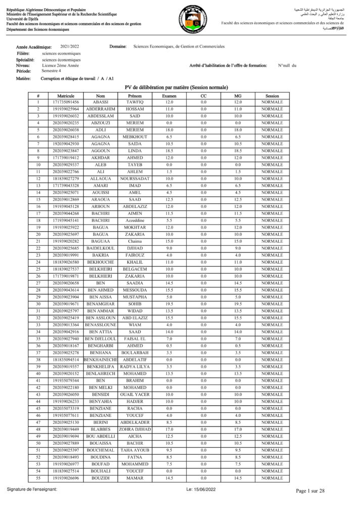
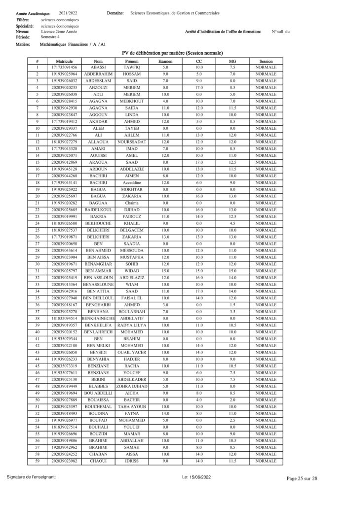
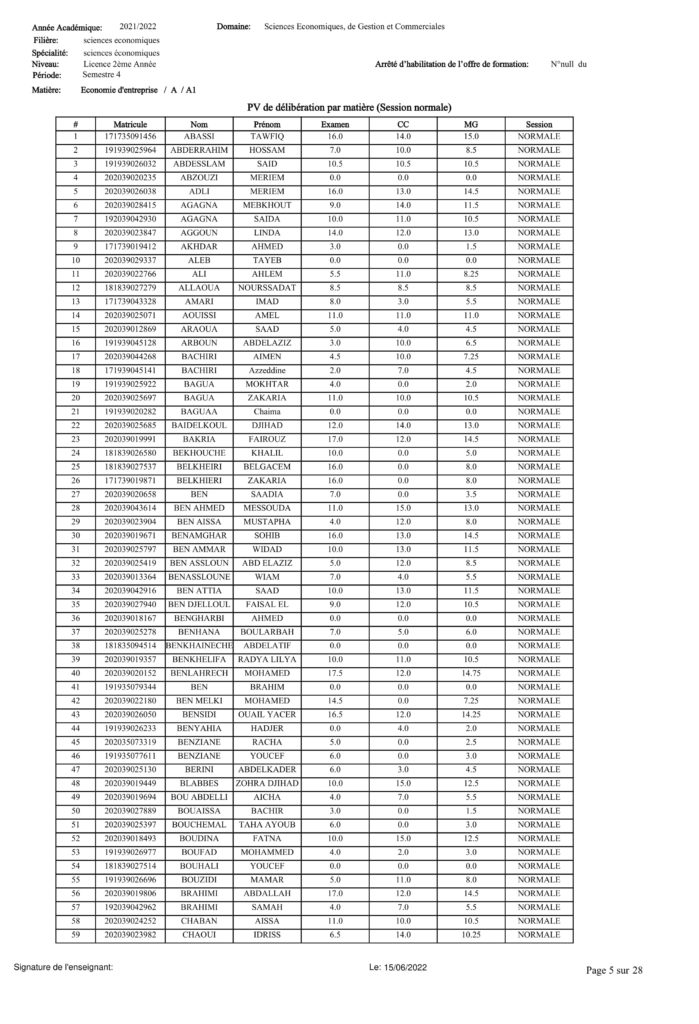
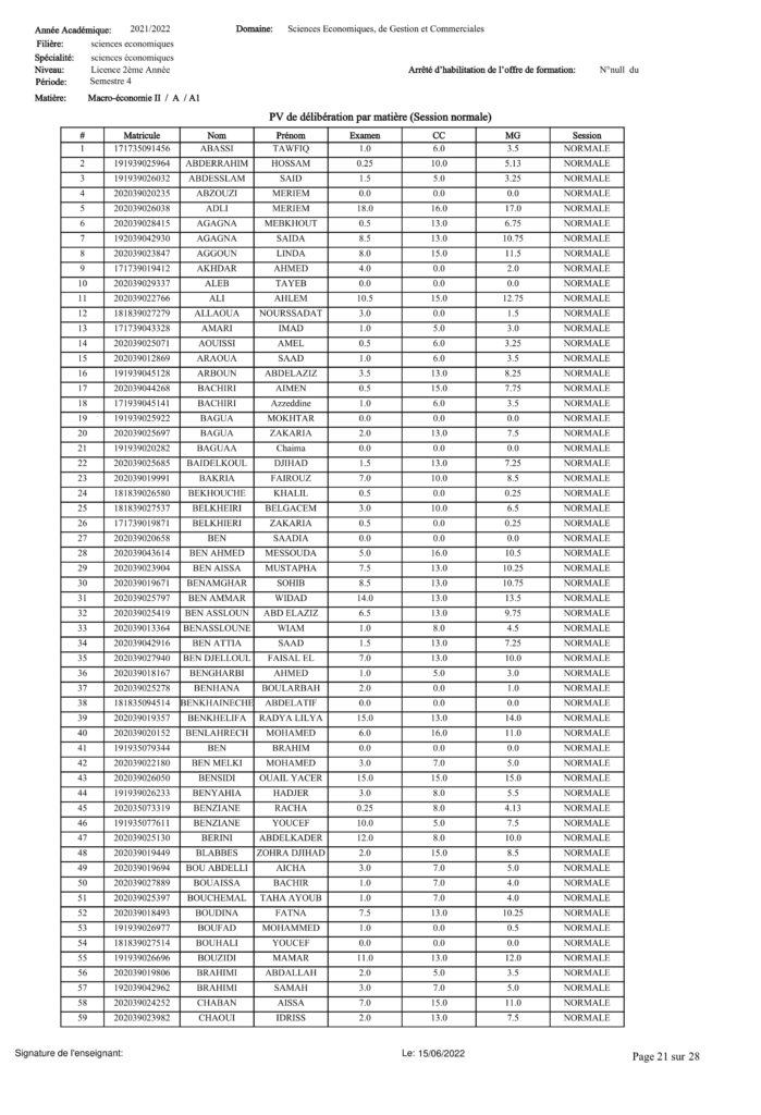
نتائج السداسي الرابع للسنة 02 جذع مشترك علوم اقتصادية- قبل الطعون

علامات مقاييس – السداسي الرابع للسنة 02 جذع مشترك علوم اقتصادية- قبل الطعون