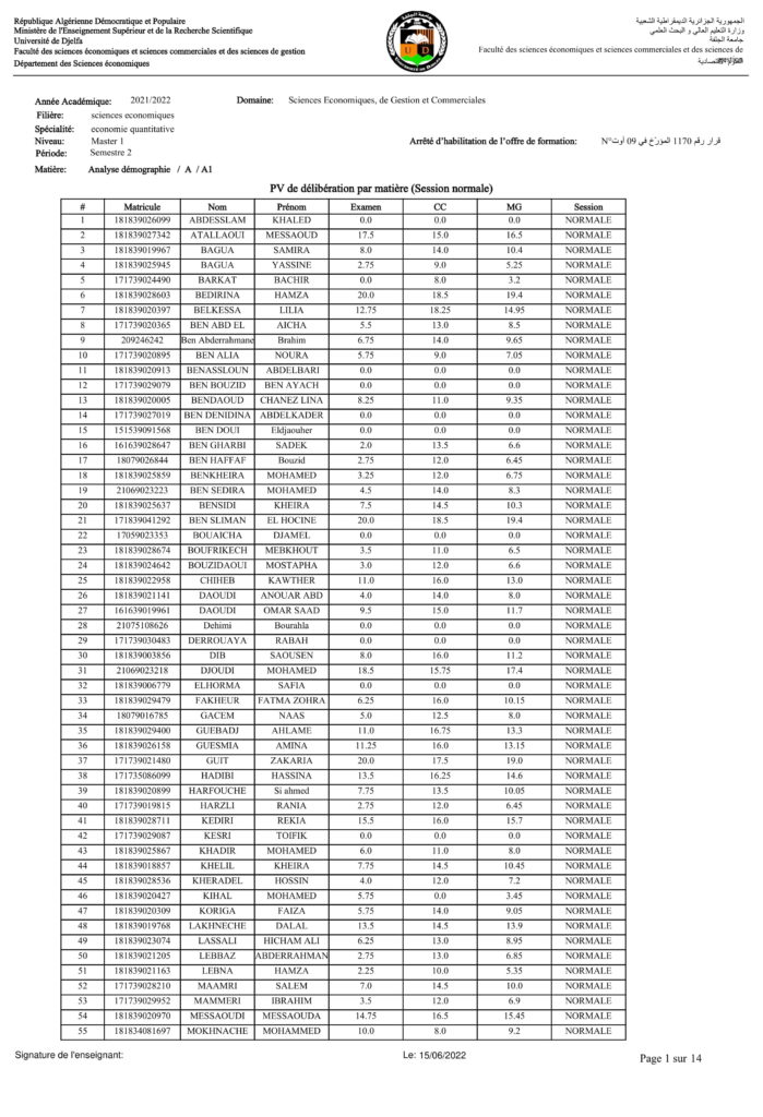
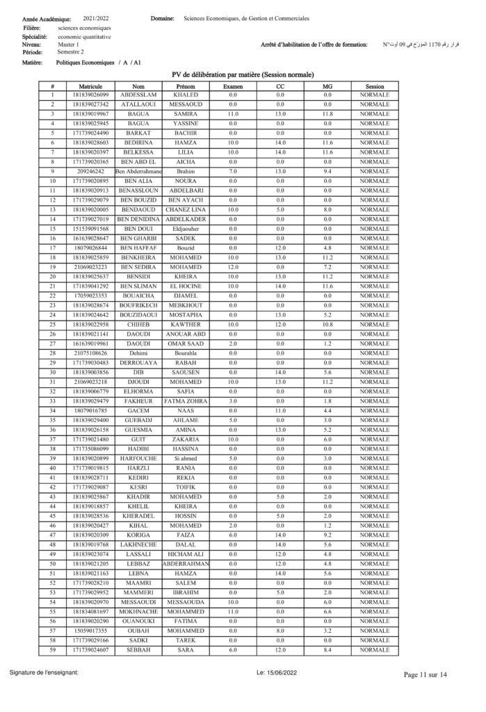
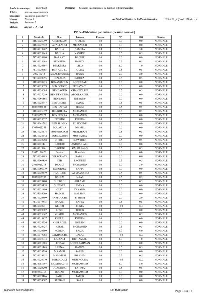
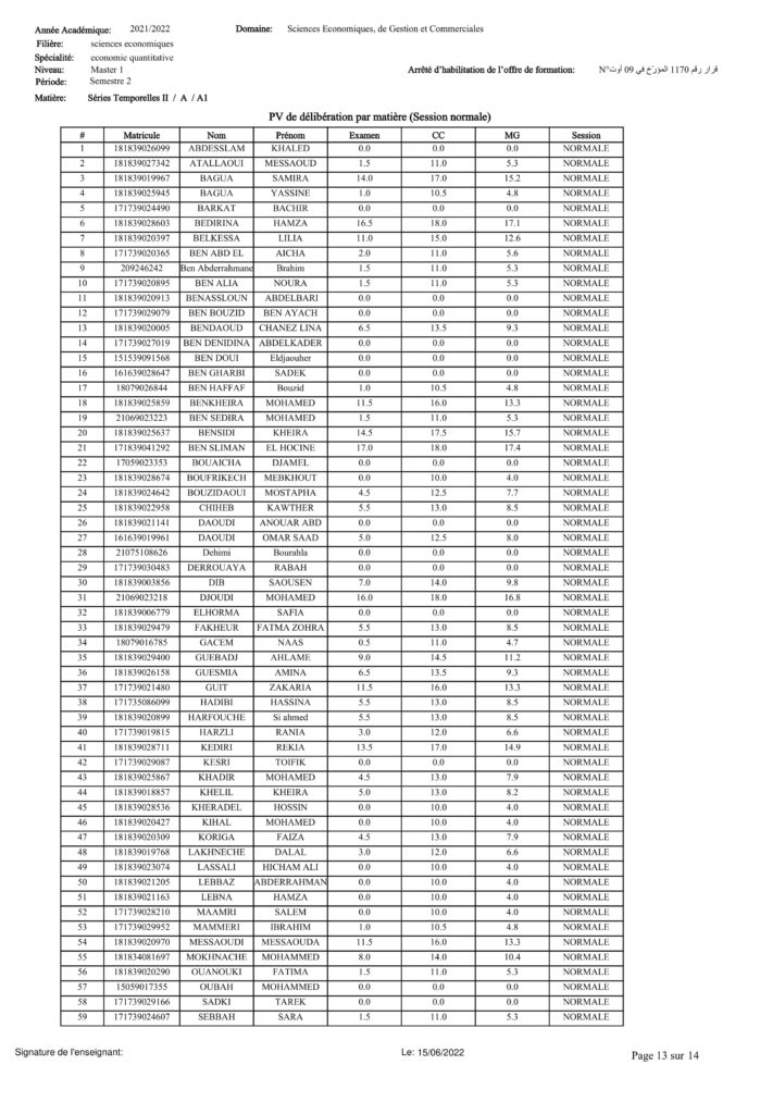
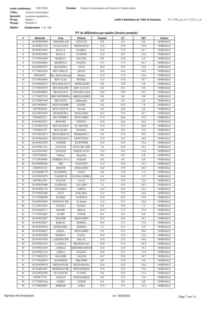
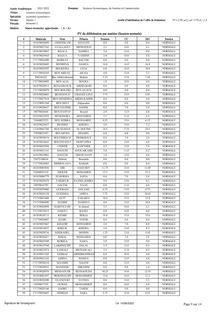
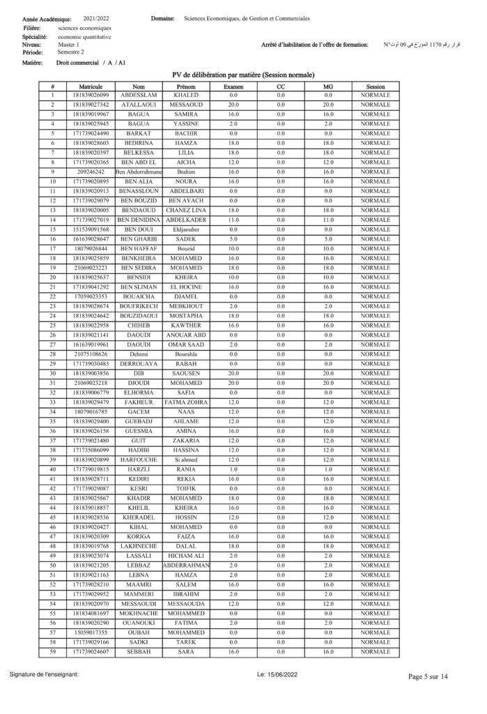
نتائج السداسي الرابع للسنة 01 ماستر تخصص اقتصاد كمي علوم اقتصادية- قبل الطعون

علامات مقاييس – السداسي الثاني للسنة 01 ماستر تخصص اقتصاد كمي – قبل الطعون